Home
Products
hydraulic tester
Bomag spare parts
Hydraulic Pump
Hydraulic Motor
Hydraulic Test Bench
Gearbox
Hydraulic Parts
Hydraulic Valve
About Us
Application
News
Contact Us
‹
›
Product Description
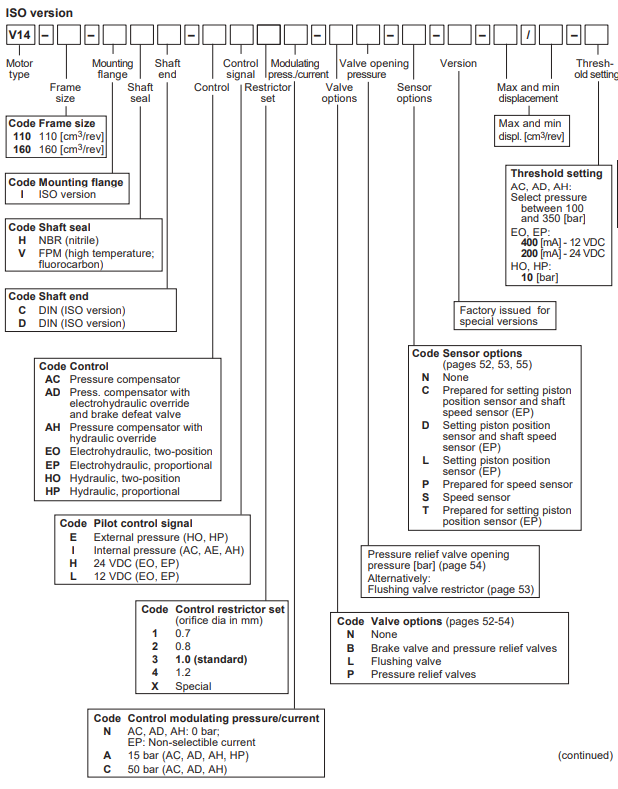
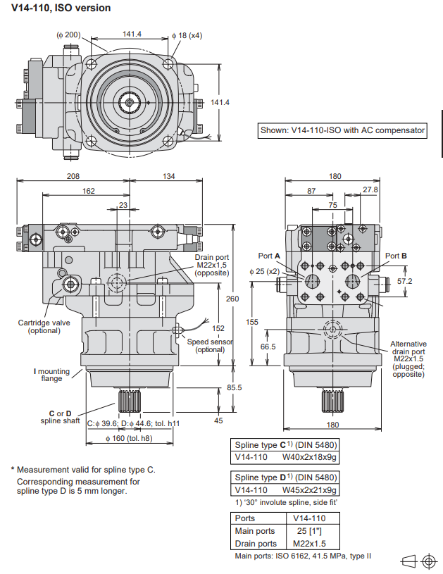
Parker V14 Series Hydraulic Piston Motor, V14-110 V14-160 Hydraulic Motor
Characteristic
The Parker V14 Series is a bent-axis variable displacement motor that offers versatility for both open and closed circuit
applications. It is available in two sizes, giving you the choice of ISO, SAE and cartridge configurations. Its compact design
facilitates straightforward and cost-effective installation, making it ideal for space-sensitive applications.
Efficient Engineering and Durability
After rigorous product testing and continuous innovation, the V14-110, V14-160 motor operates at peak efficiency
even in the harshest environments. Its advanced engineering ensures it meets the high demands of modern hydraulic
systems.
Leave Your Message
Products Recommended
CONTACT
WhatsApp
TEL
EMAIL